请选择 进入手机版 | 继续访问电脑版
  • 设为首页
  • 收藏本站
  • 兴宁51人才网
  • 手机版
  • 微信客服
    微信客服 添加方式:
    1:搜索微信号(xna8wx
    2:扫描左侧二维码
  • 微信订阅号
    微信订阅号 添加方式:
    1:搜索微信号(gdxncity
    2:扫描左侧二维码
  • 微信服务号
    微信服务号 添加方式:
    1:搜索微信号(xna8fw
    2:扫描左侧二维码
  • 快捷导航
    查看: 1016|回复: 0

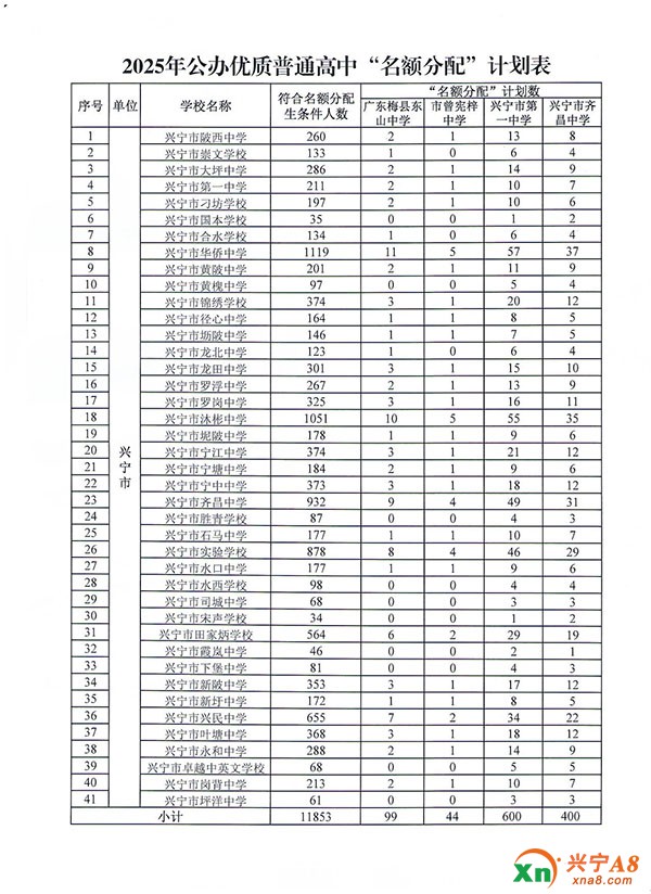
    关于兴宁市2025年公办优质普通高中学校“名额分配”计划的公示

    [复制链接]

    707

    主题

    292

    回帖

    2979

    积分

    管理员

    积分
    2979
    发表于 2025-4-27 22:48:20 | 显示全部楼层 |阅读模式
    指标生1.jpg

    指标生2.jpg


    (来源:兴宁市教育局)
    回复

    使用道具 举报

    您需要登录后才可以回帖 登录 | 立即注册

    本版积分规则

    QQ Archiver 手机版 小黑屋 兴宁A8网 ( 粤ICP备17110913号-7|粤公网安备44140202000139 )

    Copyright © 2009-2025 兴宁A8网 All Rights Reserved!

    快速回复 返回顶部 返回列表